Вернуться к содержанию учебника
Выберите год учебника
№2.284 учебника 2023-2024 (стр. 83):
С одной кочки одновременно спрыгнули лягушка и жаба и отправились в одном направлении. Длина прыжка жабы равна
см, что в
раза меньше прыжка лягушки. На каком расстоянии (в метрах) друг от друга окажутся жаба и лягушка, сделав по 20 прыжков?
№2.284 учебника 2021-2022 (стр. 78):
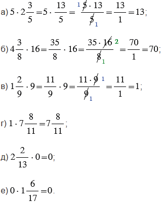
Найдите значение произведения:

№2.284 учебника 2023-2024 (стр. 83):
Вспомните:
№2.284 учебника 2021-2022 (стр. 78):
Вспомните:
№2.284 учебника 2023-2024 (стр. 83):



№2.284 учебника 2021-2022 (стр. 78):

Пояснения:
Чтобы выполнить умножение смешанных чисел, нужно записать эти числа в виде неправильных дробей, а затем воспользоваться правилом, согласно которому, чтобы умножить обыкновенную дробь на натуральное число, нужно ее числитель умножить на это число, а знаменатель оставить без изменения.
Чтобы преобразовать смешанное число в неправильную дробь, надо целую часть числа умножить на знаменатель дробной части и к полученному произведению прибавить числитель дробной части; эту сумму записать как числитель неправильной дроби, а в ее знаменатель записать знаменатель дробной части смешанного числа.
Чтобы вычисления были проще, не надо перемножать сразу, лучше сделать это после сокращения.
Сократить дробь - значит, разделить ее числитель и знаменатель на одно и то же число (наибольший общий делитель).
Дробь, у которой в знаменателе стоит единица, равна своему числителю.
Вернуться к содержанию учебника